Mathcenter Forum  

Go Back   Mathcenter Forum > คณิตศาสตร์ทั่วไป > บทความคณิตศาสตร์ทั่วไป
สมัครสมาชิก คู่มือการใช้ รายชื่อสมาชิก ปฏิทิน ข้อความวันนี้

ตั้งหัวข้อใหม่ Reply
 
เครื่องมือของหัวข้อ ค้นหาในหัวข้อนี้
  #1  
Old 29 สิงหาคม 2004, 19:19
gon's Avatar
gon gon ไม่อยู่ในระบบ
ผู้พิทักษ์กฎขั้นสูง
 
วันที่สมัครสมาชิก: 29 มีนาคม 2001
ข้อความ: 4,626
gon is on a distinguished road
Cool ทฤษฎีบทของผม !!!

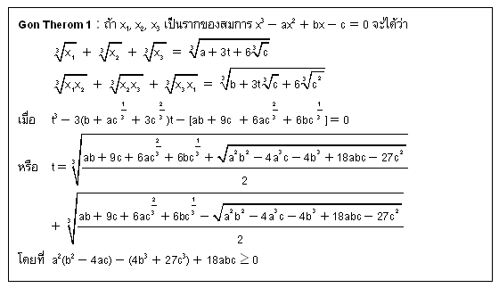
วันนี้เอานำทฤษฎีบทที่ผมคิดให้มาให้ดูกัน ทฤษฎีบทแรกมั่นใจประมาณ 85% ว่ายังไม่เคยตีพิมพ์ที่ใดมาก่อน
ตอบพร้อมอ้างอิงข้อความนี้
  #2  
Old 29 สิงหาคม 2004, 19:22
gon's Avatar
gon gon ไม่อยู่ในระบบ
ผู้พิทักษ์กฎขั้นสูง
 
วันที่สมัครสมาชิก: 29 มีนาคม 2001
ข้อความ: 4,626
gon is on a distinguished road
Cool

ทฤษฎีบทที่สอง มั่นใจประมาณ 90% ว่าไม่ยังเคยตีพิมพ์ที่ใดมาก่อน
อย่างไรก็ดี ถ้าท่านใดทราบว่าเคยตีพิมพ์มาก่อน ช่วยกรุณาบอกผมด้วยแล้วกันว่าที่ไหน
จะมี Gon Theroem 3 เร็ว ๆ นี้ คงเป็นภาคต่อจาก Gon Theroem 2 คือ ภาคของ Sine
ตอบพร้อมอ้างอิงข้อความนี้
  #3  
Old 29 สิงหาคม 2004, 21:11
<ขาจร>
 
ข้อความ: n/a
Post

ขอคาราวะท่านกร ด้วยดวงใจครับ
ตอบพร้อมอ้างอิงข้อความนี้
  #4  
Old 30 สิงหาคม 2004, 18:25
gon's Avatar
gon gon ไม่อยู่ในระบบ
ผู้พิทักษ์กฎขั้นสูง
 
วันที่สมัครสมาชิก: 29 มีนาคม 2001
ข้อความ: 4,626
gon is on a distinguished road
Icon15

รับคารวะครับ.ขอคาราวะคืนด้วย
รู้สึกว่ากรณี sine มันจะไม่หมูนะ. ดูท่าจะไม่หลุดสวย ๆ ทำไงดี ๆ
ตอบพร้อมอ้างอิงข้อความนี้
  #5  
Old 03 กันยายน 2004, 23:09
<ชาน>
 
ข้อความ: n/a
Talking

มันเทห์มากเลยครับ++
ตอบพร้อมอ้างอิงข้อความนี้
  #6  
Old 07 กันยายน 2004, 17:18
ToT's Avatar
ToT ToT ไม่อยู่ในระบบ
จอมยุทธ์หน้าหยก
 
วันที่สมัครสมาชิก: 13 สิงหาคม 2001
ข้อความ: 154
ToT is on a distinguished road
Post

แสดงความยินดีกับพี่กรด้วยครับ ^ ^
แล้วพี่ต้องส่งทฤษฎีไปให้พวก journal ป่าวเนี่ย
__________________
Mmmm ....
ตอบพร้อมอ้างอิงข้อความนี้
  #7  
Old 09 กันยายน 2004, 14:30
gon's Avatar
gon gon ไม่อยู่ในระบบ
ผู้พิทักษ์กฎขั้นสูง
 
วันที่สมัครสมาชิก: 29 มีนาคม 2001
ข้อความ: 4,626
gon is on a distinguished road
Cool

พี่คิดเล่น ๆ เอาสนุกครับ. ไม่ได้สนใจจะส่งไปลงที่ไหนหรอก มีแต่ตอนนี้ที่เขียน Joint Paper ร่วมกับ Prof. Thomas J. Osler เสร็จเรียบร้อยแล้ว ซึ่ง Prof. Thomas ส่งไปเรียบร้อยแล้วที่ วารสาร CMJ (Colledge Mathematics Journal) ซึ่งตีพิมพ์โดย MAA ก็ยังอยู่ระหว่างการพิจารณาอย่างน้อยก็ 4 - 9 เดือน หรือ มากกว่านั้น
ตอบพร้อมอ้างอิงข้อความนี้
  #8  
Old 13 กันยายน 2004, 07:20
warut warut ไม่อยู่ในระบบ
กระบี่ไร้สภาพ
 
วันที่สมัครสมาชิก: 24 พฤศจิกายน 2001
ข้อความ: 1,627
warut is on a distinguished road
Thumbs up

ยินดีด้วยเป็นอย่างยิ่งเลยครับคุณ gon ก้าวหน้าใหญ่แล้ว แล้วก็ขอขอบคุณที่ได้แสดง
การพิสูจน์ที่ผมเคยขอไปไว้นะที่นี้ด้วย (โทษทีที่ไม่ได้ตามไปตอบที่กระทู้นั้น)
ผมอ่านบทความของคุณ gon แล้วสนุกมากจริงๆครับ แต่ผมข้ามส่วนที่เกี่ยวกับคณิตศาสตร์
ไปนะ อันนั้นถ้าจะทำความเข้าใจคงต้องพิมพ์ออกมานั่งแกะกันเป็นอาทิตย์เลย

13 กันยายน 2004 08:33 : ข้อความนี้ถูกแก้ไขแล้ว 2 ครั้ง, ครั้งล่าสุดโดยคุณ warut
ตอบพร้อมอ้างอิงข้อความนี้
  #9  
Old 15 กันยายน 2004, 14:02
gon's Avatar
gon gon ไม่อยู่ในระบบ
ผู้พิทักษ์กฎขั้นสูง
 
วันที่สมัครสมาชิก: 29 มีนาคม 2001
ข้อความ: 4,626
gon is on a distinguished road
Smile

ดีใจที่อ่านสนุกครับ. ตอนนี้ผมก็กำลังลองเล่น Euler zeta function อยู่โดยเฉพาะ กรณี n = 3 ผมลองดูใน Note book ของรามานุจันแล้ว รามานุจันก็เคยเล่นไว้เยอะพอสมควร ที่เป็นกำลังสามเต็ม ๆ นี่ยังไม่สำเร็จ กรณีแบบกำลังสามแบบอ้อม ๆ ก็เห็นมีเยอะพอควร คือ ข้ามไปทีละ 1 มั่ง ทีละ 2 มั่ง แบบเต็ม ๆ ยังไม่มี ผมก็ต้องลองพิสูจน์ที่ชาวบ้านเขาหาเอาไว้ทั้งหมดให้ครบเสียก่อน เผื่อจะได้แนวคิดบางอย่างมาต่อยอดกับแนวคิดของผม น่าจะเป็นปัญหาระดับท้าทายมาก ๆ เลย
ตอบพร้อมอ้างอิงข้อความนี้
  #10  
Old 28 กันยายน 2004, 11:53
maracana maracana ไม่อยู่ในระบบ
สมาชิกใหม่
 
วันที่สมัครสมาชิก: 24 กุมภาพันธ์ 2002
ข้อความ: 8
maracana is on a distinguished road
Post

Hello brother gon

Congratulations! Your theorems are oustanding. Keep up your good work. You will be recognised soon, I hope.
__________________
There's some good in this world, and it's worth fighting for.
ตอบพร้อมอ้างอิงข้อความนี้
  #11  
Old 28 กันยายน 2004, 14:30
gon's Avatar
gon gon ไม่อยู่ในระบบ
ผู้พิทักษ์กฎขั้นสูง
 
วันที่สมัครสมาชิก: 29 มีนาคม 2001
ข้อความ: 4,626
gon is on a distinguished road
Post

Thanks.! brothermaracana. I hope you love it.
ตอบพร้อมอ้างอิงข้อความนี้
  #12  
Old 01 ตุลาคม 2004, 19:46
<J@O>
 
ข้อความ: n/a
Post

อ่านบทความ ผลบวกราดที่สาม(Gon Theorem ๑) ของพี่มังกรแล้วสนใจ Note Book ของรามานุจัน ครับ ที่พี่บอกว่ามี 3 เล่ม 400 หน้า ไม่ทราบว่าหาโหลดได้จากที่ไหนครับ
ตอบพร้อมอ้างอิงข้อความนี้
  #13  
Old 02 ตุลาคม 2004, 11:35
gon's Avatar
gon gon ไม่อยู่ในระบบ
ผู้พิทักษ์กฎขั้นสูง
 
วันที่สมัครสมาชิก: 29 มีนาคม 2001
ข้อความ: 4,626
gon is on a distinguished road
Smile

คำตอบที่น้องต้องการทราบอยู่ที่หน้า 6 ของบทความครับ.
ตอบพร้อมอ้างอิงข้อความนี้
  #14  
Old 02 ตุลาคม 2004, 13:24
<๋J@O>
 
ข้อความ: n/a
Post

ขอบคุณครับพี่มังกร :
ตอบพร้อมอ้างอิงข้อความนี้
  #15  
Old 30 ตุลาคม 2004, 18:21
gon's Avatar
gon gon ไม่อยู่ในระบบ
ผู้พิทักษ์กฎขั้นสูง
 
วันที่สมัครสมาชิก: 29 มีนาคม 2001
ข้อความ: 4,626
gon is on a distinguished road
Cool

Yeah. ! ในที่สุดผมก็สามารถคิดทฤษฎีบทต่อเนื่องจากอันแรกได้สำเร็จ แต่ดูเหมือนจะไม่มีประโยชน์เอาเสียเลย

ก็เมื่อวันจันทร์ที่ 26 ตุลาคม ที่ผ่านมา ผมได้คุยกับ Top และ ขอร้องแกมบังคับให้ช่วยเสนอแนวคิดซักอย่างขึ้นมา เพราะผมแค่เหลือเส้นใยชิ้นสุดท้ายที่จะต่อจิ๊กซอชิ้นนี้ให้สำเร็จ หลังจากจบบทสนทนากว่า 1 ชั่วโมง ก็ได้แนวคิดที่ดูเหมือนว่าจะไปต่อจิ๊กชิ้นนี้ได้ และ แล้วด้วยพยายามอย่างสุดชีวิตในที่สุด ผมก็ต่อจิ๊กซอชิ้นนี้ได้ด้วยความยากลำบาก

แต่ทว่าหลังจากต่อเสร็จ เมื่อหันกลับมามองปัญหานี้ใหม่ ก็พบว่าจริง ๆ แล้ว ท.บ. นี้มันง่ายนี่นา หลงคิดแบบยาก ๆ ไปตั้งนาน ไม่เป็นไรก็ทำให้ผมได้มุมมองแบบใหม่ สำหรับการค้นคว้าอื่น ๆ ต่อไป ท.บ. นี้ ผมขอเรียกมันว่า " Gon - Top 's Theorem " ก็แล้วกัน

30 ตุลาคม 2004 18:25 : ข้อความนี้ถูกแก้ไขแล้ว 4 ครั้ง, ครั้งล่าสุดโดยคุณ gon
ตอบพร้อมอ้างอิงข้อความนี้
ตั้งหัวข้อใหม่ Reply



กฎการส่งข้อความ
คุณ ไม่สามารถ ตั้งหัวข้อใหม่ได้
คุณ ไม่สามารถ ตอบหัวข้อได้
คุณ ไม่สามารถ แนบไฟล์และเอกสารได้
คุณ ไม่สามารถ แก้ไขข้อความของคุณเองได้

vB code is On
Smilies are On
[IMG] code is On
HTML code is Off
ทางลัดสู่ห้อง


เวลาที่แสดงทั้งหมด เป็นเวลาที่ประเทศไทย (GMT +7) ขณะนี้เป็นเวลา 10:20


Powered by vBulletin® Copyright ©2000 - 2025, Jelsoft Enterprises Ltd.
Modified by Jetsada Karnpracha